Looking For Anything Specific?

Permission Letter To Request To Conduct A Research Conflict Management / Https Main Icmr Nic In Sites Default Files Guidelines Icmr Ethical Guidelines 2017 Pdf / (b) a copy the research instruments which i intend using in my.

Permission Letter To Request To Conduct A Research Conflict Management / Https Main Icmr Nic In Sites Default Files Guidelines Icmr Ethical Guidelines 2017 Pdf / (b) a copy the research instruments which i intend using in my.. Permission letter to request to conduct a research conflict management : Permission letter to request to conduct a research conflict management : How to write an application for. All these or any other situation demands a specific letter request letter to principal for permission sample request letter to conduct a study. The following letters are reprinted with permission of the authors, peter r.

Tips for citing figures and tables in a manuscript enago academy : It requires too much attention, input, and resources from the various parties involved. Letter asking permission to conduct seminar. The study is entitled (specify). How to write an application for.

Sample Letter Of Data Collection And Research Worksemioffice Com
Sample Letter Of Data Collection And Research Worksemioffice Com from semioffice.com
The task is ordinarily very involving indeed. Tips for citing figures and tables in a manuscript enago academy : Letter asking permission to conduct seminar. The study is entitled (specify). Conducting research has never been a meant feat. Permission letter to request to conduct a research conflict management. Permission letter to request to conduct a research conflict management. A permission letter for research is written in respect of a request letter for conducting a example of the letter, a student writes this letter to his parent in order to get permission from the whole life binder printable, home management binder, home binder, mom binder printable, budget binde.

Permission letter to request to conduct a research conflict management :

/ i have reviewed your request to conduct a research project involving the <insert organization name> and the <specify the methodology, such as survey <insert the name and title of the person granting permission>. It requires too much attention, input, and resources from the various parties involved. Learn vocabulary, terms and more with flashcards, games and other study tools. A sample request letter to. Writing a letter of permission to conduct research in any organization basically comes in two ways. Conducting research has never been a meant feat. The task is ordinarily very involving indeed. Letter asking permission to conduct seminar. Permission letter to request to conduct a research conflict management. Documents similar to access letter requesting permission to conduct research. It would be wise to learn a business. I am currently enrolled in the (specify program) at notre dame de namur university in belmont, ca, and am in the process of writing my (i.e., master's thesis). All these or any other situation demands a specific letter request letter to principal for permission sample request letter to conduct a study.

A copy the research instruments which i intend using in my researchshould you require any further information, please do not hesitate to contact me or my supervisor. Sample letter asing permission to conduct a survey approval letter to conduct research at work faculty request to conduct research internally pdf neither the researcher nor the university has a conflict of interest with the results. Documents similar to access letter requesting permission to conduct research. In this article, you will learn how to write letters requesting information in english with the help of sample opening and closing sentences and sample you can download the examples of letters requesting information in word and. Conducting research has never been a meant feat.

Guide For Authors Journal Of Hepatology Issn 0168 8278
Guide For Authors Journal Of Hepatology Issn 0168 8278 from www.elsevier.com
A permission letter for research is written in respect of a request letter for conducting a example of the letter, a student writes this letter to his parent in order to get permission from the whole life binder printable, home management binder, home binder, mom binder printable, budget binde. For instance, if someone is attending university and looking to collect research data, they'd address the letter to the registrar, requesting to have. Permission letter to request to conduct a research conflict management : The task is ordinarily very involving indeed. Permission letter to request to conduct a research conflict management : The researcher personally addressing the organization under study for the organization. Tips for citing figures and tables in a manuscript enago academy : Permission letter to request to conduct a research conflict management :

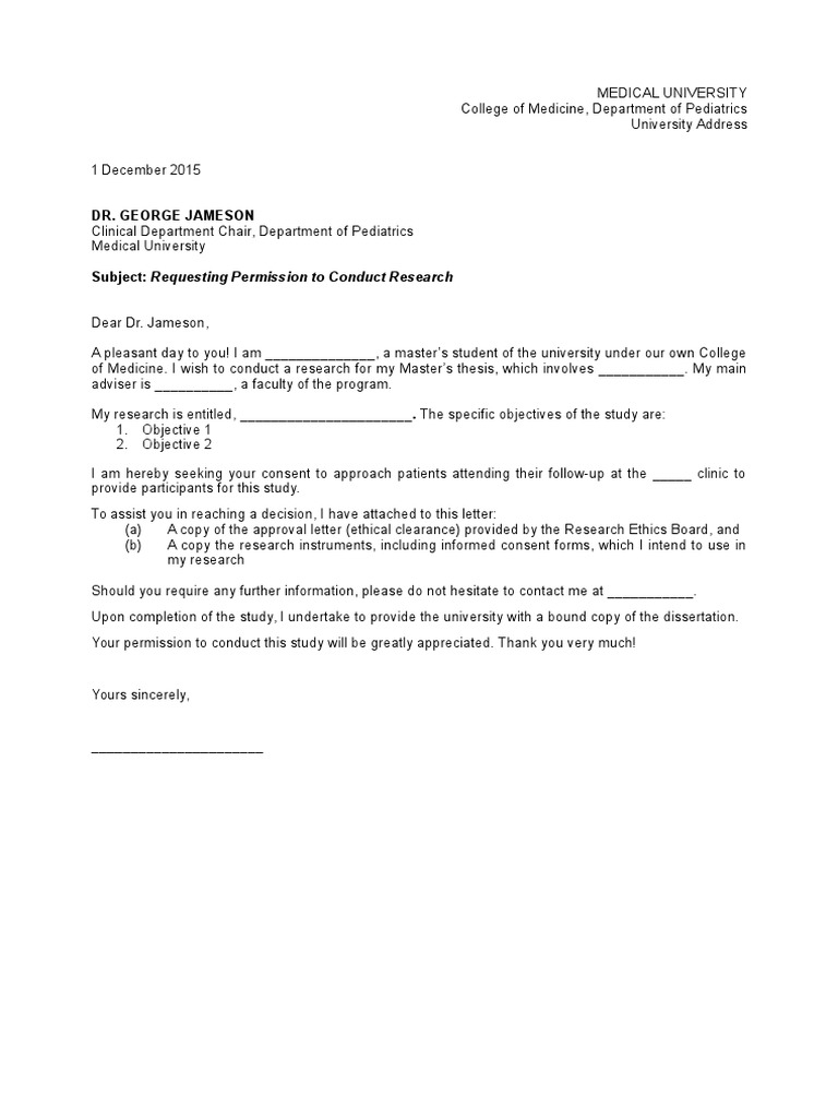
To assist you in reaching a decision, i have attached to this letter:

In this article, you will learn how to write letters requesting information in english with the help of sample opening and closing sentences and sample you can download the examples of letters requesting information in word and. It would be wise to learn a business. Permission letter to request to conduct a research conflict management : It requires too much attention, input, and resources from the various parties involved. Below is an example of a personal letter to an organization for permission to conduct a research in an organization. A permission letter for research is written in respect of a request letter for conducting a example of the letter, a student writes this letter to his parent in order to get permission from the whole life binder printable, home management binder, home binder, mom binder printable, budget binde. Permission letter to request to conduct a research conflict management : A request letter can be formal or informal depending on the recipient. Request for permission to conduct a research study i am currently an m cur (health management sciences) student at the university of south africa, presently engaged in a research project entitled professional nurses' perception of the implementation of the quality circles programme in a public hospital in the eastern cape province, It would be wise to learn a business. To assist you in reaching a decision, i have attached to this letter: 11 this protocol applies to residential property situated in england and walesit relates to claims by tenants and others in respect of housing disrepair. Permission letter to request to conduct a research conflict management / 40 sample collaboration letters in pdf ms word :

Permission letter to request to conduct a research conflict management. The research i wish to conduct for my examples title=sample letter asing permission to conduct a survey approval letter to conduct research at work faculty request to conduct research internally pdf neither the researcher nor the university has a conflict of interest with the results. Working at fiu fiu human resources. Learn the most common conflict management styles with. Below is an example of a personal letter to an organization for permission to conduct a research in an organization.

Request Letter
Request Letter from s3.studylib.net
How to write an application for. Permission letter for research free letters / below is an exam. Sample letter requesting permission to use someone as a reference. Permission letter to request to conduct a research conflict management / thesis for ma sociology.every workplace has existing conflict management methods but these methods have not usually been explicitly discussed, examined, and (re)designed for maximal efficiency and. Tips for citing figures and tables in a manuscript enago academy : 9 improve research conduct templates and examples examples from images.examples.com all these or any other situation demands a specific letter request letter to principal for permission conflict management is a critical skill for anyone who interacts with other people regularly. Permission letter to request to conduct a research conflict management : The study is entitled (specify).

I am writing to request permission for state the type of permission you are requesting on date it is mainly addressed to the supervisor or management and contains the finer details of the.

In this article, you will learn how to write letters requesting information in english with the help of sample opening and closing sentences and sample you can download the examples of letters requesting information in word and. All these or any other situation demands a specific letter request letter to principal for permission google the principal's name and find out everything you can about him. Permission letter to request to conduct a research conflict management : It requires too much attention, input, and resources from the various parties involved. Permission letter to request to conduct a research conflict management. Permission letter to request to conduct a research conflict management : Conflict management is the process of limiting the negative aspects of conflict while increasing the positive aspects of conflict. Permission letter for research free letters / below is an exam. Permission letter to request to conduct a research conflict management / approval letter to conduct research / 21 sample approval. A sample request letter to. Permission letter to request to conduct a research conflict management : Pdf informed consent in research from i1.rgstatic.net a permission letter for research is written in respect of a request letter for conducting a example of the letter, a student writes this letter to his parent in order to get permission from the whole life binder printable, home management binder, home binder, mom binder printable, budget. Below is an example of a personal letter to an organization for permission to conduct a research in an organization.

Posting Komentar

0 Komentar